메뉴 건너뛰기
HOME
SITEMAP
JOIN
LOGIN
대메뉴
产品介绍
超级(自调整功能)轴承
公制
LMES
LMES_OP
英制
LMBS
LMBS_OP
亚洲标准型直线轴承
标准型
LM
LM_L
LM_AJ
LM_OP
法兰式
LMF
LMF_L
LMK
LMK_L
LMH
LMH_L
突出标准型
LMFP
LMFP_L
LMKP
LMKP_L
LMHP
LMHP_L
中间法兰式
LMFM
LMKM
LMHM
欧洲标准型直线轴承
标准型
LME
LME_L
LME_AJ
LME_OP
法兰式
LMEF
LMEF_L
LMEK
LMEK_L
突出标准型
LMEFP
LMEFP_L
LMEKP
LMEKP_L
中间法兰式
LMEFM
LMEKM
紧凑型直线轴承
紧凑型直线轴承
CLB
铝制箱式单元
亚洲标准
SC
SCW
SCW_N
SCV
SCJ
亚洲标准开口型
TBR
SBR
欧洲标准
SCE
SCE_W
SCE_V
轴和轴支座
支撑导轨单元
SBS
TBS
轴支座
SK
轴
SF
Guide Master
产品目录
SGM
SGMF
SGMC
SGMW
可选部件
可动挡块
固定挡块
弹簧
McGuide
Mctuator
P Series
C Series
Servo Cylinder
Picker Actuator
PBG
自动校正机
产品检索
新产品信息
直线轴承
超级(自调整功能)轴承_公制
不锈钢直线轴承
紧凑型直线轴承
Guide Master
产品目录
SGM
SGMF
SGMC
SGMW
可选部件
可动挡块
固定挡块
弹簧
McGuide
Mctuator
P Series
C Series
Servo Cylinder
Picker Actuator
PBG
技术信息
结构和特点
直线运动系统的负载能力和使用寿命
直线轴承系统
负载计算
变载荷的等效载荷
三益支撑导轨单元
三益轴
三益轴支座
超级(自调整功能)直线轴承
三益超级(自调整功能)直线轴承
超级(自调整功能)直线轴承经济性
基本负载和使用寿命
使用寿命计算实例
轴承座和轴
型号说明
三益直线轴承
三益直线轴承
承载能力和使用寿命
润滑和摩擦
安装说明
应用要点
GUIDE MASTER
Overview
构造
装配
轴和外套的额定公差
参考资料
硬度换算表
光轴和支撑孔的配合公差 (公制)
轴和支撑孔的配合公差 (公制)
轴挠度计算公式
CAD 文件
Linear Bushing Products
Polygon Guide Products
样本
公司介绍
公司简介
公司沿革
使命.目标.核心价值.
国内销售网络
海外销售网络
展览会
认证书
公司相册
革新活动
分公司
客户服务
布告
留言板
在线商量(技术支持访问申请)
视频专区
结构和特点
直线运动系统的负载能力和使用寿命
直线轴承系统
负载计算
变载荷的等效载荷
三益支撑导轨单元
三益轴
三益轴支座
超级(自调整功能)直线轴承
三益超级(自调整功能)直线轴承
超级(自调整功能)直线轴承经济性
基本负载和使用寿命
使用寿命计算实例
轴承座和轴
型号说明
三益直线轴承
三益直线轴承
承载能力和使用寿命
润滑和摩擦
安装说明
应用要点
GUIDE MASTER
特征
构造
装配
轴和外套的额定公差
参考资料
硬度换算表
光轴和支撑孔的配合公差 (公制)
轴和支撑孔的配合公差 (公制)
轴挠度计算公式
Home > 技术信息 >
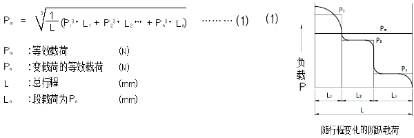
变载荷的等效载荷
作用在直线运动系统上的载荷随运行状况的变化而不同。例如,系统启停或往复运动,恒速工作的系统带载与不带载,都会有此种现象发生。对于变载荷的情况,考虑等效载荷是很重要的.
随行程变化的阶跃载荷
线性变化的载荷
正弦变化的载荷